首页
课程教学处
工作简讯
雨中书馆
健康教育
教学新闻
公示公告
规章制度
首页
管理之窗
课程教学处
公示公告
正文
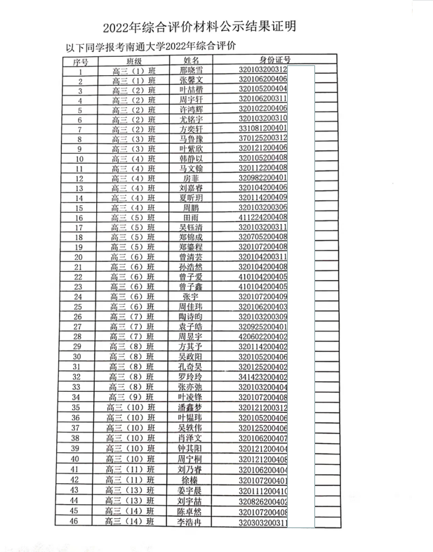
2022年雨花台中学报考南通大学综合素质评价公示结果
发布时间:2022-05-07 13:30
作者:孙涵
浏览量:35453
上一篇:
2022年雨花台中学报考扬州大学综合素质评价公示结果1
下一篇:
2022年雨花台中学报考东南大学综合素质评价公示结果